|
【1】CexLa1-xB6の磁気相図(CeB6の磁気秩序相III相は省略,論文のFig. 1).N極S極の密度分布は楠瀬氏のプログラムを使って計算した.
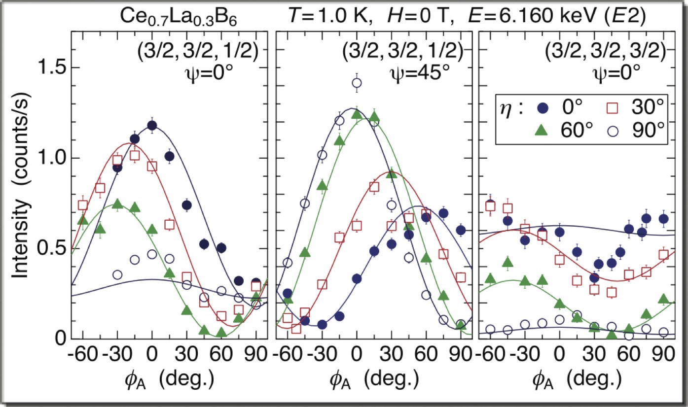
【3】ゼロ磁場IV相における共鳴散乱信号の完全偏光解析.入射X線の直線偏光角ηを変化させ,偏光解析アナライザーの角度φAに対する強度変化を測定したもの.実線はTβ (Γ5u) 型磁気八極子秩序モデルによる計算(論文のFig.4).実験結果をよく再現しており,Tβ 型磁気八極子秩序を実証している. |
【2】CeB6の結晶構造
【4】磁気八極子秩序状態(IV相)でのσ-σ’(η=0, φA=0), π-σ’ (η=90, φA=0) 散乱過程に対する(3/2, 3/2, 1/2)回折強度の磁場依存性(論文のFig.5).磁気八極子と磁場誘起四極子からの散乱が互いに干渉し合うため,磁場反転で強度に差が生じ,多極子の分離抽出が可能になる. |
| ◎ 研究背景 歴史的にPara相をI相,AFQ相をII相,反強磁性磁気秩序相 (AntiFerroMagnetic order, AFM) をIII相と呼んできた.CeB6のCeを非磁性のLaで置換していくと,TQ,TNとも低下する.x<0.8になったとき,TQとTNが逆転し,IV相と名付けられる奇妙な相が出現することが1990年代後半から注目されはじめた [1].この相はやがて,磁気八極子秩序相 (AntiFerroOctupole order, AFO) ではないかと考えられるようになり [2],ついに2005年,ヨーロッパの放射光施設ESRFで行われた共鳴X線回折実験により,初めて磁気八極子秩序の信号がとらえられたのである [3].当時,私は共鳴X線回折に関わり初めて約5年であり,いつかはCexLa1-xB6をと思っていたが,まだ日本国内には最低温度1 Kで共鳴X線回折実験ができるような試料環境はなく,ヨーロッパにおける研究環境の充実ぶりに何ともいえない気持ちを持ったものである. ◎ 研究目的と実験装置のこと 本研究で得られた新しい知見を一言で表すと,Ce0.7La0.3B6のTβ (Γ5u) 型磁気八極子秩序相(IV相)で磁場をかけると,単純な平均場からは説明できないような大きなOxy (Γ5g) 型電気四極子が誘起されるという点にある.方法はCeB6のAFQ相で磁場誘起Txyz型八極子を観測したときと同様,磁場反転を利用した干渉効果の解析である. 上図【4】のデータとその解析がこの新知見を示すものとなっている. ただし,ここはAFO相内で磁場をかけるので,AFO秩序変数は磁場で変わらず,磁場誘起AFQの符号が磁場反転で逆転するというモデルになっているところがCeB6と違っており,ちょっとおもしろい. ◎ 多極子秩序変数のゆらぎ CeB6のAFQ転移温度は3.3 Kであるが,ゆらぎによって転移温度が低下していると考えられる.ゆらぎの少ない強磁場での転移温度を平均場で考え,そこからゼロ磁場での転移温度を平均場で見積もると約7 Kであるという [6].3.3 Kまで下がっているのがゆらぎの効果である.同様に考えれば,Ce0.7La0.3B6でのゼロ磁場でのAFQ転移温度は平均場的には約3 Kである.これがゆらぎのために秩序化せず,他の多極子秩序変数と競合し,結果としてTβ型磁気八極子が1.4 Kで秩序化していると考えられる.おそらく,Tβ型磁気八極子も平均場的には3 K程度の転移温度をもつ相互作用をしているはずである. ◎ その他いろいろ 最近,中性子非弾性散乱で新しい結果が報告されている [7].様々な多極子ゆらぎが競合しているという立場からの解析を個人的には期待するが,彼らはそういう方向性で考えてはいないようである.いずれにせよ,新しい発見がまだでてきそうな気配が十分にある.これほど長い年月にわたって新発見があるとは,CeB6はFe3O4に匹敵する偉大な物質かもしれない. |
|
【5】Tβ (Γ5u) 型磁気八極子秩序相で磁場をかけたときに,どのような多極子が誘起されるか,およびその温度変化を平均場モデルで計算した結果(論文のFig. 17).主な磁場誘起多極子はO20型電気四極子である. |












